The Problem with Mouth Alcohol and Florida’s Intoxilyzer 8000
Why is Edward Owens, the former Agency Inspector for the Hillsborough County Sheriff’s Office, blowing twice the legal limit during his monthly inspection of the Intoxilyzer 8000?
Either he was intoxicated when doing the inspection, or the instrument can’t detect the presence of a tiny amount of mouth alcohol. How many other sober people blow into the Intoxilyzer 8000 only to see a reading of twice the legal limit?
The biggest problem with the Intoxilyzer 8000 is that the instrument cannot tell the difference between mouth alcohol and alcohol found in the deep lungs. The instrument is designed to assume that any alcohol found in the sample came from breath in the deep lungs and not merely trace amounts of residual alcohol found in the subject’s mouth, throat or stomach.
Any residual mouth alcohol can cause an inflated BrAC reading that causes a sober person to blow over the legal limit.
How Does the Mouth Alcohol Test Work on the Intoxilyzer 8000?
Agency Inspection Procedures – Intoxilyzer 8000 FDLE / ATP Form 39, Rev. August 2005, sets out the procedures an Agency Inspector must follow when conducting an Agency Inspection of an evidentiary breath test instrument. Contained within the Agency Inspection Procedures – Intoxilyzer 8000 FDLE / ATP Form 39, Rev. August 2005, there is an Alcohol Free Subject / Mouth Alcohol Test.
The procedure for the Mouth Alcohol Test specifically state: “Rinse mouth with alcohol salutation. When PROVIDE SAMPLE NOW is again displayed introduce a breath sample into the instrument. The result must be SLOPE NOT MET.” The rules do not specify how much alcohol solution should be used.
The Mouth Alcohol Test on the Intoxilyzer 8000
To illustrate this problem, consider an “internal memo” sent last year from the Agency Inspector for the Central Breath Testing Center at the Hillsborough County Sheriff’s Office. The agency inspector is a civilian employed by the Hillsborough County Sheriff’s Office to perform a monthly inspection of the instrument. Part of the test requires the agency inspector to swish a small amount of alcohol in his mouth and then blow in the instrument.
That little notation “AF / MA” means “I blew twice the legal limit!”
The Intoxilyzer 8000 is supposed to read “slope not met” or “slope not level” to demonstrate that the instrument has found the presence of “mouth alcohol” during the mouth alcohol test.
When the instrument fails this test, the Intoxilyzer 8000 will put a notation of “AF / MA” which stands for “Alcohol Free / Mouth Alcohol.” Because the instrument only has to pass 50% of the time, the agency inspector is then given the opportunity to redo the mouth alcohol test.
The memo reads: “On August 11, 2011 at 20:22 hours, I obtain a .165 reading on a mouth alcohol test due to an insufficient alcohol sample being used. I repeated the test as required using a larger mouth alcohol sample and obtained the proper reading of “Slope Not Met.” The instrument then passed the mouth alcohol test and the rest of the inspection.”
Why Use an Internal Memo?
Let me first say that Edward Owens should be praised for actually putting the truth in writing even if he put it in an internal memo instead of on the actual report itself.
Obviously, FDLE has designed the report to not show when an inspector blows over the legal limit. The “AF /MA” code could mean any number of things, and the inspector just has to come up with any excuse if asked about the problem by a criminal defense attorney.
Our office first obtained the internal memo through a subpoena duces tecum served on Mr. Owens for a Formal Review Hearing to contest our client’s administrative suspension after a DUI arrest. Eventually, the internal memo was sent to FDLE, initial by Laura Barfield at FDLE, and uploaded on the FDLE website as a public record.
Amazingly, the same thing happened again on the same instrument #80-003388 on April 10, 2012, when the agency inspector noted on the inspection report: “AF/MA RETRY INSF SAMPLE.”
Shortly thereafter, Mr. Owens was demoted from agency inspector to breath test operator. One of the other witnesses to this disturbing phenomenon, Charnelle Harrigan, Breath Test Operator in Hillsborough County Sheriff’s Office left her position as a breath test operator and moved out of state in May of 2012.
The Official “Excuse” Makes No Sense
FDLE/ATP Form 39 step #5 says in part “…If a test must be repeated, the REASON must be entered when prompted and recorded in the Remarks section of FDLE/ATP form 40 Agency Inspection Report- Intoxilyzer 8000. But the excuses used to explain this particular problem make absolutely no sense.
The inspectors are trained to write the “used too little alcohol.” If this grossly inaccurate reading happened to the inspector what would stop the same thing from happening to an innocent person arrested for DUI?
Looking at the breath test reading, it only shows “AF / MA” without any indication that the inspector blew over the legal limit. Without seeing this “internal memo” no one would ever know how bad the problem really was. No one would ever know, except we do know now.
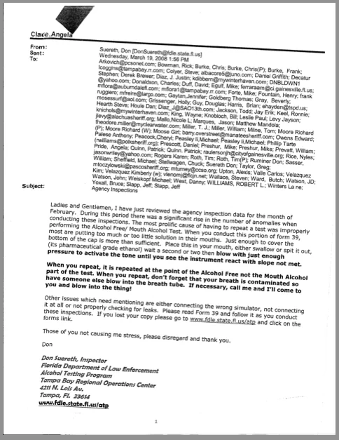
This is not the first time the Intoxilyzer 8000 has utterly failed the mouth alcohol test. In fact, the problem was so bad that former Departmental Inspector Donald Suereth wrote this e-mail in frustration on March 19, 2008:
Ladies and Gentlemen, I have just reviewed the agency inspection data for the month February. During this period there was a significant rise in the number of anomalies when conducting these inspections. The most prolific cause of having to repeat a test was improperly performing the Alcohol Free / Mouth Alcohol Tests.
When you conduct this portion of form 39, most are putting too much or too little solution in their mouths. Just enough to cover the bottom of the cap is more than sufficient. Place this in your mouth, either swallow or spit it out (its pharmaceutical grade ethanol) wait a second or two then blow just enough pressure to activate the tone until you see the instrument react with slope not met.
When you repeat, it is repeated at the point of the Alcohol Free not the Mouth Alcohol part of the test. When you repeat, don’t forget that your breath is contaminated so have someone else blow into the breath tube. If necessary, call me and I’ll come to you and blow into the thing!… Those of you not causing me stress, please disregard and thank you. Don Suereth, Inspector, Florida Department of Law Enforcement.
So if a person blows over the legal limit if .08 it may be because they consumed enough alcohol to reach that level, or it may be because the instrument incorrectly calculated residual mouth alcohol leading to a grossly inflated reading. If the instrument cannot even pass these monthly inspections, then it really demonstrates the extent of the problem.
By the way, not only will swishing a tiny amount of alcohol in your mouth cause a BrAC reading that is over the legal limit – consider the fact that even eating a piece of white bread can cause the same problem – Mouth Alcohol and the Intoxilyzer 8000.
Consider a few other examples:
DEPARTMENTAL INSPECTION WITH ROGER SKIPPER
80-000880 11/10/2011 AGENCY MIAMI-DADE PD
A F / M A. WEAK SOL, USED NEW BOTTLE 2ND TEST
80-001654 05/19/2011 Agency MIAMI PD
A F / M A:NEGATIVE SLOPE NOT MET
80-002462 03/29/2012 Agency Inspection; HIALEAH PD
A F / M A: INTRODUCED MOUTH ALCOHOL IN ERROR.
80-000881 9/6/12 Agency Inspection MIAMI DADE PD
A F / MA: TOO MUCH M/A OFC BRUTTO PRESENT
Even the Former Departmental Inspector for FDLE and the current Agency Inspector for the Hillsborough County Sheriff’s Office, Roger Skipper, has seen this problem. Consider a Department Inspection he conducted on 11/08/2011. The instrument alerted him to the fact that the instrument failed the Alcohol Free / Mouth Alcohol Test. The excuse that the used was that AF/ MA: TEST REPEATED DUE TO AF SAMPLE GIVEN FOR MA SAMPLE”
80-005250 7/06/11 inspection FFWCC – example where the Mouth Alcohol Test failed twice in a row.
A F / M A: Range Exceeded TOO MUCH MOUTH ALCOHOL. Non-compliance: TOO MUCH MOUTH ALCOHOL
80-000229 3/21/2012 Inspection FDLE – A F / M A: NOT ENOUGH MOUTH ALCOHOL SOLUTION IN MOUTH
80-000229 2/25/2011 Inspection FDLE – A F / M A: Range Exceeded TOO MUCH M/A
80-000873 4/30/2009 Inspection Miami PD –
A F / M A: MA Reading User Error (with a hand written notation that says 0175 which might mean .0175 or 0.175). The test right before that inspection showed “PURGE FAIL DURING AF/MA test.”
80-001737 3/31/2009 Inspection South Miami PD –
A F / MA: NOT ENOUGH MOUTH ETOH USED.
80-000760 Inspection Agency: ALACHUA COUNTY SO 2/23/2011
A F / M A: Sequence Aborted.
80-002462 8/22/2012 Inspection Agency: HIALEAH PD
A F / M A: TOO MUCH M/A SOLUTION INTRODUCED. Non-compliance: M/A DID NOT TAKE.
80-001441 2/16/2012 Inspection Agency: KENNEDY SPACE CENTER
A F / M A: TOO MUCH MOUTH ALCOHOL.
80-001046 5/25/2012 Inspection Agency: CLAY COUNTY SO 5/25/2012
A F / M A: NOT ENOUGH MOUTH ALCOHOL SOLUTION
In this example it happened twice in a row:
80-001232 Agency Inspection NAS Pensacola Police Department on 9/27/09
Mouth Alcohol Causes Inspector to blow .067 and .032.
Consider an e-mail dated September 27, 2009, that was sent from Grady Rhodes, CIV NAS Pensacola, to Departmental Inspector Maggie Gedding. The email explained the problem this way:
“Maggie,
…[W]hen I was doing the initial Mouth Alcohol test, I ended up with too much mouth alcohol on my breathe and got a .067 reading and that prompted a second test, which resulted in a .032 reading. So when it asked to redo the initial test, I had Sergeant Wiersma blow into instrument for the alcohol free test and then the mouth alcohol test and everything worked as it should. You can see by the transmitted test results, the bottom remarks section for 232 has AF/MA. It certified fine so there’s no problem with the instrument….”
So basically, swishing a tiny amount of alcohol in your mouth can cause you to register a falsely high BrAC reading TWICE in a row. The agency inspector blew a .067 and then blew a .032 even though he had consumed no alcohol other than the tiny amount that had been swished in his mouth and then spit out.
He should have registered 0.00 or had a flag like “slope not met.” But under no circumstances should the instrument show a BrAC reading of .067. These problems show very clearly that the slope detector doesn’t work in the Intoxilyzer 8000.
Free Consultation
Submit this form to request a free and confidential consultation with one of our attorneys.
Our Office Locations
Tampa Office:
Sammis Law Firm, P.A.
1005 N. Marion St.
Tampa, FL 33602
(813) 250-0200
New Port Richey Office:
Sammis Law Firm, P.A.
7509 Little Rd.
New Port Richey, FL 34654
(727) 807-6392
Clearwater Office:
Sammis Law Firm, P.A.
14010 Roosevelt Blvd. #701
Clearwater, FL 33762
(727) 210-7004




2 comments